不定积分经典练习,(secx)^3的原函数怎么求?
不定积分经典练习,(secx)^3的原函数怎么求?
#头条创作挑战赛#
正割的立方的原函数至少有三种求法。最简便的方法当然是直接运用公式了。正割的正整数次方的不定积分是有公式的。

教材提供的是递推公式,即将原不定积分记为In的形式,n就是正割的指数,可以将In递推得到I_(n-2),即每次递推都使指数减少2. 最后就可以得到1的不定积分或secx的不定积分,然后利用1的原函数是x+C或secx的原函数是ln|secx+tanx|+C,就可以得到(secx)^3的原函数了。
这个递推公式是:
In=tanx(secx)^(n-2)/(n-1)+(n-2)/(n-1)*I_(n-2)dx, n≠1.
这里的n=3, 因此得到:
解1:原积分=tanxsecx/2+1/2*I1=tanxsecx/2+1/2*ln|secx+tanx|+C.
这里还有一个问题,或者说有两个问题,是一个问题的两种情况。首先,当n很大的时候,你很难通过这样一步一步往下递推去得到原函数。比如当n=13时,你可以试一试,那将是多大的递推工程。甚至当n=99999时,相信把它解出来和“愚公移山”的难度可以相提并论了。
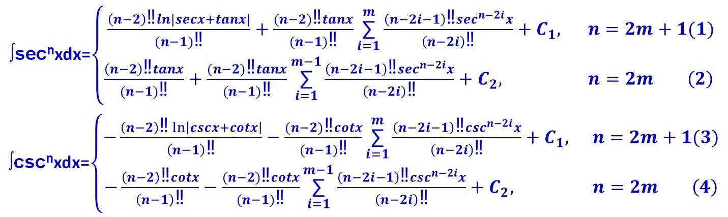
这个时候我们就需要一个公式的最终形态,而不单单是教材提供的递导公式了。不要担心,老黄已经为你推导出这个公式了。公式需要根据n的奇偶性分类讨论,如下:

老黄顺带把余割的正整数次方的不定积份公式都推出来了。因此,就给我们提供了第二种解法,就是直接运用它的最终公式形态,得到:
解2:原积分=(ln|secx+tanx|)/2+tanx/2*∑(i=1)((2-2i)‼(secx)^(3-2i)/(3-2i)‼ +C.
当n太大的时候,直接以公式的形式做答案就可以了。如果需要展开,就交给计算机程序去完成就可以了。当然,这里的n=3,比较小,我们可以轻松把它展开,结果和解1是一致的。
而当n比较小时,我们并不一定要直接运用公式。因为直接运用公式对学习其实并不是特别有好处。我们可以手撕这个不定积分,相当于探究公式的推导过程。
解3:∫(secx)^3dx=∫secxdtanx【根据dtanx=(secx)^2dx凑微分】
=secxtanx-∫tanxdsecx【运用了分部积分公式】
=secxtanx-∫(tanx)^2secxdx【根据dsecx=secxtanxdx】
=secxtanx-∫((secx)^2-1)secxdx【根据(secx)^2-1=(tanx)^2】
=secxtanx-∫((secx)^3-secx)dx【运用了乘法分配律,讲这么详细,真是有点失礼了】
=secxtanx-∫(secx)^3dx+∫secxdx【运用了不定积分的线性法则】
=secxtanx-∫(secx)^3dx+ln|secx+tanx|+C1【运用了正割的积分公式】
∴原积分=tanxsecx/2+1/2*ln|secx+tanx|+C.【移项,合并同类项,化系数为1】

三种解法,能不能让你领会一些求不定积分的真谛了呢?
-
- 《犬王》:忠诚与牺牲的悲壮赞歌
-
2025-09-26 05:01:03
-
- 足球英语你不知道的football和soccer的区别
-
2025-09-26 04:58:48
-
- 祁太秧歌展演
-
2025-09-24 21:53:48
-
- 证监会:IPO节奏放缓
-
2025-09-24 21:51:33
-
- 山东检察机关依法对商怀君决定逮捕
-
2025-09-24 21:49:17
-
- 法国敦刻尔克市附近发生枪击事件 造成5人死亡
-
2025-09-24 21:47:01
-
- 2020年贵州高考文理状元
-
2025-09-24 21:44:46
-
- 这些网上很火的梗,你知道几个?
-
2025-09-24 21:42:30
-
- #轻兵器科普#又被称为靴筒手枪:里迪击发机德林杰手枪
-
2025-09-24 21:40:14
-
- 广州华多网络科技取得商品排序处理方法及其装置、设备、介质、产品专利
-
2025-09-24 21:37:59
-
- 中国各省身份证号前两位数字(3)
-
2025-09-24 21:35:43
-
- 一图读懂抑郁症的5种异常信号
-
2025-09-24 21:33:27
-
- 最新!合肥市公安局副调研员张国权被查
-
2025-09-24 00:13:29
-
- 孙怡黑丝长腿性感写真,谁看了不迷糊
-
2025-09-24 00:11:13
-
- 清心安静心灵,纯净治愈极简山水头像
-
2025-09-24 00:08:57
-
- 期待!五月天25周年巡演成都站官宣了
-
2025-09-24 00:06:40
-
- 鹿晗关晓彤公开恋情 关晓彤工作室回应:是真的
-
2025-09-24 00:04:24
-
- 留住乡愁855——昌乐县祝家庄
-
2025-09-24 00:02:07
-
- 辽宁高校简介——辽宁师范大学
-
2025-09-23 23:59:51
-
- 联合国近东救济工程处已有284人遇难
-
2025-09-23 23:57:35



五本评分很高的自闭症男主文:你拥有全世界,而我的世界只有你
1995年,吴毅将与钟淑慧合作限制级电影,尺度敏感删减9分钟
宝藏女孩——陈钰琪全图写真合集
解放战争,林彪为何被叫“101”?这个代号有何寓意?
圣女贞德:美貌绝伦,率军抗击侵略者,落入敌手惨遭凌辱受刑而亡
推荐九本模拟经营小说,经营领地和商铺(二)
每日推书!五本牧场流小说,平平淡淡,我就养牛养马
号外|“天水南站—麦积山温泉”专线公交开通啦!高铁+温泉说走就走!
闽是哪个省的简称?闽字的来由
石家庄精英中学最全数据:班型、招生计划、录取分数线、费用……